티스토리 뷰

표준점수란?
표준점수는 원점수의 상대적 서열을 나타내는 점수입니다.
즉, 표준점수는 개인이 획득한 원점수가 평균에서 얼마나 떨어져 있는지를 보여주는 점수입니다.
즉, 평균과의 거리를 측정하는 지표라고 생각하면 됩니다.
(원점수를 제공하지 않고) 표준점수를 제공하는 이유는?
원점수는 시험 총점과 대비하여 몇 점을 받았는가? 하는 정보만을 나타낼 뿐
개인 간 상대적인 비교나 개인 내 영역/과목 간의 비교는 어렵습니다.
반면 표준점수는 집단의 특성을 고려하여 각 개인의 원점수에 대해 의미 있는 해석이 가능하도록 바꾼 점수입니다.
수능은 한국사 영역을 제외한 모든 영역/과목을 수험생이 임의 선택하여 응시하고 있습니다.
따라서 각 영역/과목에 응시하는 수험생이 서로 다르기 때문에 영역/과목 간에 난이도를 일정하게 유지하는 것이 사실상 어렵습니다. 즉, 원점수로는 영역/과목 간 난이도의 차이로 인해 각 과목 점수간의 비교를 하기가 어려운 문제들을 해결하고자 표준점수제를 도입한 것입니다.
표준점수는 어떻게 산출하는지?
① 영역/과목별로 다음 공식에 의하여 Z점수를 구합니다.

② 위에서 얻은 Z점수를 다음 공식에 대입하여 표준점수를 산출합니다.
(표준점수) = (Z점수) × (해당 영역 및 과목의 표준편차) + (평균)
<예> 탐구 영역 물리학Ⅱ에서 (탐구영역 평균 50점, 탐구영역의 표준편차 10점이라 가정시,)
원점수 38점(원점수 평균 19.1, 표준편차 9.2)을 받은 수험생의 물리학Ⅱ 표준점수를 구하고 싶을 때는
먼저 학생의 Z점수 × 10 (탐구영역 표준편차) + 50(탐구영역 평균)

반올림하여 71점이 수험생의 물리학Ⅱ 표준점수가 됩니다.
영역/과목별 표준점수의 평균, 표준편차 및 범위는 어떻게 되나요?

(국어와 수학은 공통+선택과목을 합한 문항수, 탐구는 각 과목당 문항수 입니다.)
표준점수의 범위가 0~200(100)은 표준점수의 만점이 200점(100점)임을 의미하나요?
원점수에는 만점이 있으나 표준점수에는 만점이 없습니다.
왜냐하면 표준점수는 평균으로부터 얼마나 떨어져 있는지의 정도를 나타내는 산포도이기 때문에
원점수 만점에 해당하는 표준점수의 최고점은 원점수의 분포에 따라 달라지기 때문입니다.
표준점수 범위 밖의 점수는 절삭하여 국어, 수학 영역은 0점 혹은 200점을,
탐구 영역은 과목별로 0점 혹은 100점을 부여합니다.
백분위란 무엇이며 어떻게 산출하나요?
너 몇등이야.. 하는 '몇 등'이 점수화 된 것이라 생각하시면 이해가 쉽습니다.
백분위는 영역/과목 내에서 개인의 상대적 서열을 나타내는 수치입니다.
서열 점수라고 생각하시면 됩니다.
즉, 백분위는 전체 수험생 중에서 특정한 점수보다 낮은 점수를 받은 수험생들의 비율을 백분율로 나타낸 수치입니다.
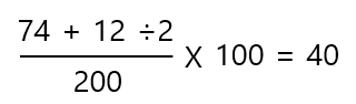
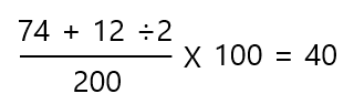
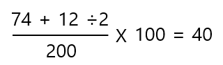
수능에서의 백분위는 '정수'로 표기된 '표준점수'에 근거하며 산출 공식은 다음과 같습니다.

예를 들어, 전체응시자가 200명인 시험에서 표준점수를 86점 받았는데,
86점 보다 적은 점수는 모두 74명이고, 86점 동점자는 모두 12명일경우.
표준점수 86점을 받은 수험생의 백분위 점수는 40점입니다.

86점 받아서 어.. 좀 점수가 괜찮네.. 했는데 알고 보니 그 시험이 무지 쉬웠던거였구나..
백분위 점수는 현타를 느끼는 점수가 됩니다.
너 몇등이야, 너는 몇 등이야... 하는 그 몇등이 점수화 되는 것입니다.
등급이란 무엇이며 어떻게 산출하나요?
영역/과목별 표준점수에 근거하여 수험생을 9등급으로 나누어 수험생이 속해 있는 해당 등급을 표시합니다.
영역/과목별 전체 수험생의 상위 4%까지를 1등급으로,
그 다음 7%까지를 2등급 등으로 하여 <표 4>와 같이 순차적으로 등급을 부여합니다.

등급은 정수로 표기된 표준점수로 결정하며,
등급 구분 점수를 받은 동점자에게는 해당되는 등급 중 상위 등급을 부여합니다.
백분위가 같더라도 등급이 다를 수 있나요?
등급은 영역/과목별 표준점수를 기준으로 산출하므로,
백분위가 동일하더라도 표준 점수가 다른 경우 등급이 달라질 수 있습니다.

국어 영역에서 ‘가’ 학생(표준점수 133점, 백분위 95.8)과 ‘나’ 학생 (표준점수 134점, 백분위 96.3)의 경우,
백분위는 반올림을 하면 96으로 동일하지만,
표준점수에 따라 ‘가’ 학생의 등급은 2등급, ‘나’ 학생의 등급은 1등급이 됩니다.
표준점수와 백분위는 어떤 차이점이 있나요?

'Edu' 카테고리의 다른 글
| 2024 대입 과목별 출제방향, 출제범위, 문항수, 배점 (0) | 2024.04.08 |
|---|---|
| 의대정원 배정결과 (0) | 2024.03.29 |
